전통적으로 기술 혁신은 내부 연구개발(R&D) 투입, 규모의 경제, 자체 내부의 우수 인적자원의 확보 및 효율적 활용 등으로 이루어져 왔습니다. 이말은 아이디어의 발굴에서 기초 연구, 제품 개발, 사업화에 이르는 모든 기술 혁신 과정을 기업 내부에서 독자적으로 수행하는 것을 의미하는 것입니다.
하지만 기술의 복잡성 증대, 경제의 글로벌화, 제품 수요의 다양화 등 국내·외 경제 환경의 급격한 변화는 기업의 기술 혁신 활동에 상당한 변화를 요구하고 있으며 이러한 기술 혁신의 패러다임 변화와 맞물려, 기술 혁신 과정에서 외부의 혁신 주체들과 협력하는 방식이 확대됨에 따라, 전 세계적으로 개방형 혁신 활동이 급속히 확산되고 있습니다.
이처럼 개방형 혁신 활동의 필요성이 증가하고 국내에서도 정부지원금을 제공받는 다양한 연구개발 사업에서 오픈소스SW 개발방식의 과제 수행을 요구하는 경우가 많아지고 있지만, 개방형 혁신 연구개발(이하 오픈 R&D)을 수행하려는 수행 기관들은 자신에게 필요한 오픈 R&D 평가 지표와 체계적인 관리 모델들의 부재로 인한 혼란이 가중되고 있습니다.
한국정보통신기술협회의 공개소프트웨어 프로젝트 그룹에서는 조직이 오픈 R&D를 수행하는 수행 기관이 외부의 참여자와 함께 개방형 혁신 활동의 관리를 할 수 있는 연구개발 능력 부문에서 현재의 역량 상태를 평가하고, 목표 수준을 설정하여 개선의 우선순위를 설정하기 위한 기준을 제시하고 있으므로 이 모델을 활용하면 오픈 R&D를 수행하는 조직이 다른 조직과의 오픈 R&D 수행 역량 성숙도 수준을 비교할 수 있습니다.
개방형 혁신 연구개발 역량 성숙도 모델

이 표준은 오픈 R&D를 수행하는 수행 기관이 외부의 참여자와 개방형 혁신 활동의 관리를 할 수 있는 연구개발 능력 수준을 개선하기 위해 필요한 성숙도 모델을 위해 7개의 도메인(비즈니스 전략, 정책 및 조직, 프로젝트 평가, 공급망 관리, 커뮤니티, 개발 환경, 성과 관리) 관점에서 5 등급의 역량 성숙도 등급으로 측정할 수 있는 기준을 제공합니다.
오픈 R&D를 수행하는 수행 기관이 외부의 참여자와 개방형 혁신 활동의 관리를 할 수 있는 연구개발 능력 수준을 개선하기 위해 필요한 성숙도 모델을 정의하고, 역량 성숙도 등급(Capability Maturity Level), 성숙도 모델 프로세스가 적용되는 도메인(Domain), 도메인별 세부 등급 기준으로 구성되어 있습니다.
평가 수준은 획일적으로 적용하는 것이 아니라 조직의 정책에 의해 적합하게 결정될 수 있으며, 이 표준에서는 5 등급의 성숙도 등급을 제시합니다.
평가 모델은 다음과 같이 7개의 평가 도메인으로 구성되며 각 도메인은 개방형 혁신 연구개발 활동들로 구성된 논리적 그룹, 조직의 성숙도를 평가하기 위해 서로 독립적인 활동 등 관행의 집합이며 각 관행은 조직이 오픈 R&D를 수행하기 위한 활동을 의미합니다.
| 도메인 | 설명 |
| 비즈니스 전략 | 오픈소스SW 기반의 비즈니스 전략 |
| 정책 및 조직 | 오픈 R&D 거버넌스 정책과 조직의 구성 |
| 프로젝트 평가 | 오픈소스SW 프로젝트의 성숙도 평가 |
| 공급망 관리 | 오픈소스SW가 포함되는 소프트웨어 공급망 관리 |
| 커뮤니티 | 오픈소스SW 커뮤니티 거버넌스 |
| 개발 환경 | 오픈소스SW 개발을 위한 개발 환경 |
| 성과 관리 | 오픈 R&D에 적합한 성과 지표 |
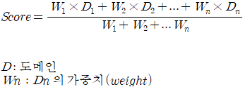
조직은 평가를 위한 도메인을 결정하고 선정한 도메인에 대하여 다음과 같은 5 등급의 성숙도 수준을 평가하게 되는데, 개방형 혁신 연구개발 역량 성숙도 평가를 위하여 단일 도메인을 평가하는 공식은 평가 도메인 내 오픈 R&D를 수행하기 위한 활동들에 대하여 조직이 설정한 중요도(가중치)를 할당하여 가중 산술 평균값을 합산하여 등급 기준에 따라 평가합니다.

평가를 위하여 다수의 도메인을 평가하는 공식은 다음과 같이 평가 도메인들에 대하여 조직이 설정한 중요도(가중치)를 할당하여 가중 산술 평균값을 합산하여 최종 등급 기준을 평가할 수 있습니다.

기본적으로 평가대상 도메인들에 대한 가중 산술 평균값을 5 단계 척도로 구분하여 식별하여 적용할 수 있습니다.
| (1단계) 초기 | (2단계) 정의 | (3단계) 관리 | (4단계) 확산 | (5단계) 최적화 |
| 20 이하 | 21~40 | 41~60 | 61~80 | 81 이상 |
각 도메인의 세부 평가 기준은 별도 문서를 참고하시기 바랍니다.
'오픈소스SW' 카테고리의 다른 글
| ubuntu 24.04 autoinstall.yml (0) | 2024.08.21 |
|---|---|
| 오픈소스 세계의 짠한 현실 (0) | 2023.12.19 |
| 개방형 OS 생태계에 대한 이해 (0) | 2020.12.09 |
| 오픈소스 OS 가 윈도우보다 보안에 취약하다? 진짜? (0) | 2020.03.14 |
| 무료 데스크톱 OS들 (1) | 2019.04.18 |